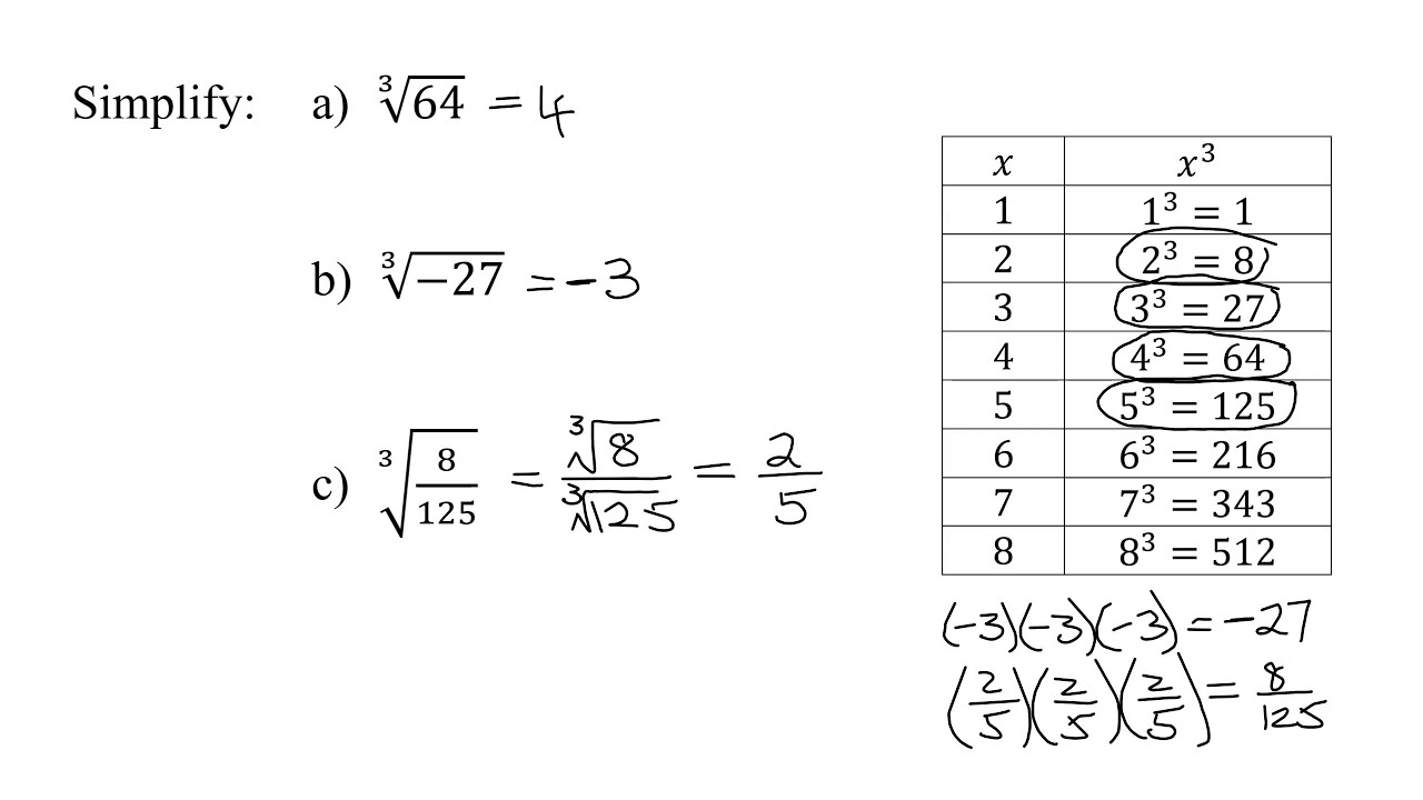
Have you ever wondered what the cubed root of 27 is? Well, you’re in luck because we’re here to break it down for you. Understanding how to calculate the cubed root of a number can be a useful skill to have, whether you’re a math whiz or just curious.
So, what exactly is the cubed root of 27? The answer is 3. That’s right, when you multiply 3 by itself three times (3 x 3 x 3), you get 27. It’s as simple as that! Knowing this little math trick can come in handy in various situations, from solving equations to understanding geometric shapes.

cubed root of 27
The Cubed Root of 27 Explained
Calculating the cubed root of a number involves finding the number that, when multiplied by itself three times, equals the original number. In the case of 27, the cubed root is 3 because 3 x 3 x 3 = 27. This concept is vital in algebra and other branches of mathematics.
If you’re ever faced with a problem that involves finding the cubed root of a number, remember the simple formula and apply it accordingly. It’s a handy math trick that can save you time and effort in your calculations. Plus, understanding the cubed root concept can deepen your overall understanding of mathematical principles.
Now that you know the cubed root of 27 is 3, you can impress your friends with your newfound math knowledge. Whether you’re a student, a teacher, or just someone curious about numbers, understanding the cubed root concept can open up a whole new world of mathematical possibilities. So, go ahead and start exploring the fascinating world of cubed roots!

Cube Root Of 27 Cube Root Of Negative 27 Cube Root Of Minus 27 YouTube

Simplifying The Root Of Positive And Negative Numbers A Brief Rundown Cube Root 27 YouTube

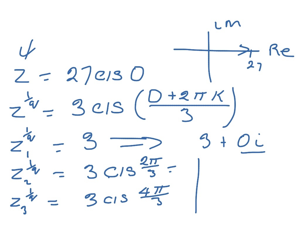
Complex Cube Roots Of 27 Math Complex Numbers ShowMe

Question Video Evaluating Cube Roots Nagwa

Find The Cube Root 8 And 27 Without A Calculator YouTube